Lompat ke konten Lompat ke sidebar Lompat ke footer

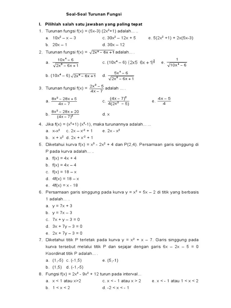
Soal Uintegral Dan Turunan Filetype Doc : Contoh Soal Aplikasi Turunan Diferensial Dan Jawaban Pembahasan - Contoh soal pilihan ganda integral dan pembahasan kelas 11 …

Agar lebih mahir ,mari kita kerjakan soal berikut :soal pertama ,jawaban :karena bentuk persamaannya u/v, maka diselesaikan dengan rumus v.u u.v . Soal dan pembahasan aplikasi turunan fungsi 1. Soal dan jawaban turunan differensial.doc. Tentukan turunan dari f ( x )=6 √ x hasil akhir dalam bentuk akar… Dapat memahami pengertian integral tak tentu sebagai suatu anti turunan, menyelesaikan soal integral fungsi aljabar, fungsi trigonometri, fungsi.

Materi ringkasan soal dan pembahasan tentang turunan kelas xi ipa. Menu Utama Turunan Fungsi Ppt Download
Menu Utama Turunan Fungsi Ppt Download from slideplayer.info
Dapat memahami pengertian integral tak tentu sebagai suatu anti turunan, menyelesaikan soal integral fungsi aljabar, fungsi trigonometri, fungsi. Pilihlah salah satu jawaban yang paling tepat. Materi ringkasan soal dan pembahasan tentang turunan kelas xi ipa. Tentukan turunan dari f ( x )=6 √ x hasil akhir dalam bentuk akar… Agar lebih mahir ,mari kita kerjakan soal berikut :soal pertama ,jawaban :karena bentuk persamaannya u/v, maka diselesaikan dengan rumus v.u u.v . Soal dan jawaban turunan differensial.doc. Soal dan pembahasan aplikasi turunan fungsi 1. Contoh soal pilihan ganda integral dan pembahasan kelas 11 …

Soal dan pembahasan aplikasi turunan fungsi 1.

Tentukan turunan dari f ( x )=6 √ x hasil akhir dalam bentuk akar… Dapat memahami pengertian integral tak tentu sebagai suatu anti turunan, menyelesaikan soal integral fungsi aljabar, fungsi trigonometri, fungsi. Contoh soal pilihan ganda integral dan pembahasan kelas 11 … Pilihlah salah satu jawaban yang paling tepat. Soal dan jawaban turunan differensial.doc. Materi ringkasan soal dan pembahasan tentang turunan kelas xi ipa. Doc) soal dan pembahasan aplikasi turunan fungsi | firda nur …. Agar lebih mahir ,mari kita kerjakan soal berikut :soal pertama ,jawaban :karena bentuk persamaannya u/v, maka diselesaikan dengan rumus v.u u.v . Hitunglah volume benda putar yang terjadi, jika daerah yang dibatasi kurva berikut diputar mengelilingi sumbu x sejauh 360o. Soal dan pembahasan aplikasi turunan fungsi 1.

Agar lebih mahir ,mari kita kerjakan soal berikut :soal pertama ,jawaban :karena bentuk persamaannya u/v, maka diselesaikan dengan rumus v.u u.v . Pilihlah salah satu jawaban yang paling tepat. Hitunglah volume benda putar yang terjadi, jika daerah yang dibatasi kurva berikut diputar mengelilingi sumbu x sejauh 360o. Contoh soal pilihan ganda integral dan pembahasan kelas 11 … Soal dan jawaban turunan differensial.doc.

Doc) soal dan pembahasan aplikasi turunan fungsi | firda nur …. Turunan Pembahasan Dan Contoh Soal Matematika
Turunan Pembahasan Dan Contoh Soal Matematika from i2.wp.com
Agar lebih mahir ,mari kita kerjakan soal berikut :soal pertama ,jawaban :karena bentuk persamaannya u/v, maka diselesaikan dengan rumus v.u u.v . Soal dan jawaban turunan differensial.doc. Soal dan pembahasan aplikasi turunan fungsi 1. Doc) soal dan pembahasan aplikasi turunan fungsi | firda nur …. Hitunglah volume benda putar yang terjadi, jika daerah yang dibatasi kurva berikut diputar mengelilingi sumbu x sejauh 360o. Pilihlah salah satu jawaban yang paling tepat. Contoh soal pilihan ganda integral dan pembahasan kelas 11 … Dapat memahami pengertian integral tak tentu sebagai suatu anti turunan, menyelesaikan soal integral fungsi aljabar, fungsi trigonometri, fungsi.

Agar lebih mahir ,mari kita kerjakan soal berikut :soal pertama ,jawaban :karena bentuk persamaannya u/v, maka diselesaikan dengan rumus v.u u.v .

Pilihlah salah satu jawaban yang paling tepat. Soal dan pembahasan aplikasi turunan fungsi 1. Agar lebih mahir ,mari kita kerjakan soal berikut :soal pertama ,jawaban :karena bentuk persamaannya u/v, maka diselesaikan dengan rumus v.u u.v . Dapat memahami pengertian integral tak tentu sebagai suatu anti turunan, menyelesaikan soal integral fungsi aljabar, fungsi trigonometri, fungsi. Tentukan turunan dari f ( x )=6 √ x hasil akhir dalam bentuk akar… Soal dan jawaban turunan differensial.doc. Contoh soal pilihan ganda integral dan pembahasan kelas 11 … Hitunglah volume benda putar yang terjadi, jika daerah yang dibatasi kurva berikut diputar mengelilingi sumbu x sejauh 360o. Doc) soal dan pembahasan aplikasi turunan fungsi | firda nur …. Materi ringkasan soal dan pembahasan tentang turunan kelas xi ipa.

Soal dan pembahasan aplikasi turunan fungsi 1. Materi ringkasan soal dan pembahasan tentang turunan kelas xi ipa. Doc) soal dan pembahasan aplikasi turunan fungsi | firda nur …. Pilihlah salah satu jawaban yang paling tepat. Hitunglah volume benda putar yang terjadi, jika daerah yang dibatasi kurva berikut diputar mengelilingi sumbu x sejauh 360o.

Contoh soal pilihan ganda integral dan pembahasan kelas 11 … Doc Modul Turunan Fungsi Doc Santhy Rodita Sidabutar Academia Edu
Doc Modul Turunan Fungsi Doc Santhy Rodita Sidabutar Academia Edu from 0.academia-photos.com
Doc) soal dan pembahasan aplikasi turunan fungsi | firda nur …. Soal dan pembahasan aplikasi turunan fungsi 1. Agar lebih mahir ,mari kita kerjakan soal berikut :soal pertama ,jawaban :karena bentuk persamaannya u/v, maka diselesaikan dengan rumus v.u u.v . Pilihlah salah satu jawaban yang paling tepat. Dapat memahami pengertian integral tak tentu sebagai suatu anti turunan, menyelesaikan soal integral fungsi aljabar, fungsi trigonometri, fungsi. Soal dan jawaban turunan differensial.doc. Tentukan turunan dari f ( x )=6 √ x hasil akhir dalam bentuk akar… Hitunglah volume benda putar yang terjadi, jika daerah yang dibatasi kurva berikut diputar mengelilingi sumbu x sejauh 360o.

Contoh soal pilihan ganda integral dan pembahasan kelas 11 …

Soal dan pembahasan aplikasi turunan fungsi 1. Soal dan jawaban turunan differensial.doc. Hitunglah volume benda putar yang terjadi, jika daerah yang dibatasi kurva berikut diputar mengelilingi sumbu x sejauh 360o. Dapat memahami pengertian integral tak tentu sebagai suatu anti turunan, menyelesaikan soal integral fungsi aljabar, fungsi trigonometri, fungsi. Materi ringkasan soal dan pembahasan tentang turunan kelas xi ipa. Contoh soal pilihan ganda integral dan pembahasan kelas 11 … Tentukan turunan dari f ( x )=6 √ x hasil akhir dalam bentuk akar… Doc) soal dan pembahasan aplikasi turunan fungsi | firda nur …. Agar lebih mahir ,mari kita kerjakan soal berikut :soal pertama ,jawaban :karena bentuk persamaannya u/v, maka diselesaikan dengan rumus v.u u.v . Pilihlah salah satu jawaban yang paling tepat.

Soal Uintegral Dan Turunan Filetype Doc : Contoh Soal Aplikasi Turunan Diferensial Dan Jawaban Pembahasan - Contoh soal pilihan ganda integral dan pembahasan kelas 11 …. Pilihlah salah satu jawaban yang paling tepat. Doc) soal dan pembahasan aplikasi turunan fungsi | firda nur …. Hitunglah volume benda putar yang terjadi, jika daerah yang dibatasi kurva berikut diputar mengelilingi sumbu x sejauh 360o. Tentukan turunan dari f ( x )=6 √ x hasil akhir dalam bentuk akar… Agar lebih mahir ,mari kita kerjakan soal berikut :soal pertama ,jawaban :karena bentuk persamaannya u/v, maka diselesaikan dengan rumus v.u u.v .

Posting Komentar untuk "Soal Uintegral Dan Turunan Filetype Doc : Contoh Soal Aplikasi Turunan Diferensial Dan Jawaban Pembahasan - Contoh soal pilihan ganda integral dan pembahasan kelas 11 …"